Albatron GeForce 6800 128MB PCI-E (PC6800)
на базе NVIDIA GeForce 6800 (NV42)
TR:AoD, Paris5_4 DEMO
НАЗАД к ОСНОВНОЙ СТАТЬЕ
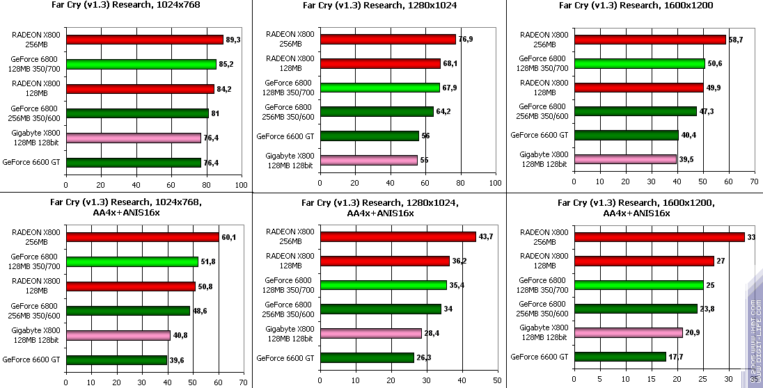
FarCry, Research
НАЗАД к ОСНОВНОЙ СТАТЬЕ
FarCry, Regulator
НАЗАД к ОСНОВНОЙ СТАТЬЕ
FarCry, Pier
НАЗАД к ОСНОВНОЙ СТАТЬЕ
F.E.A.R. (MP beta)
НАЗАД к ОСНОВНОЙ СТАТЬЕ
Half-Life2: ixbt01 demo
НАЗАД к ОСНОВНОЙ СТАТЬЕ
Half-Life2: ixbt02 demo
НАЗАД к ОСНОВНОЙ СТАТЬЕ
Half-Life2: ixbt03 demo
НАЗАД к ОСНОВНОЙ СТАТЬЕ
DOOM III High Mode
НАЗАД к ОСНОВНОЙ СТАТЬЕ
3DMark05: MARKS
НАЗАД к ОСНОВНОЙ СТАТЬЕ
Chronicles of Riddick, demo 44
НАЗАД к ОСНОВНОЙ СТАТЬЕ
Chronicles of Riddick, demo ducche
НАЗАД к ОСНОВНОЙ СТАТЬЕ
| Дополнительно |
|













