Albatron GeForce 6600GT AGP 128MB, Albatron GeForce 6600U 128MB, Albatron GeForce 6600 128MB, Albatron GeForce 6200 128MB, Albatron GeForce 6600 AGP 128MB, Albatron GeForce 6200 AGP 128MB, Albatron GeForce 6200 TurboCache 64 (256) MB, Albatron GeForce 6200 TurboCache 16 (128) MB на базе NVIDIA GeForce 6200/6600/6600GT
TR:AoD, Paris5_4 DEMO

НАЗАД к ОСНОВНОЙ СТАТЬЕ
FarCry, Research

НАЗАД к ОСНОВНОЙ СТАТЬЕ
FarCry, Regulator

НАЗАД к ОСНОВНОЙ СТАТЬЕ
FarCry, Pier

НАЗАД к ОСНОВНОЙ СТАТЬЕ
Half-Life2: ixbt01 demo

НАЗАД к ОСНОВНОЙ СТАТЬЕ
Half-Life2: ixbt02 demo

НАЗАД к ОСНОВНОЙ СТАТЬЕ
Half-Life2: ixbt03 demo

НАЗАД к ОСНОВНОЙ СТАТЬЕ
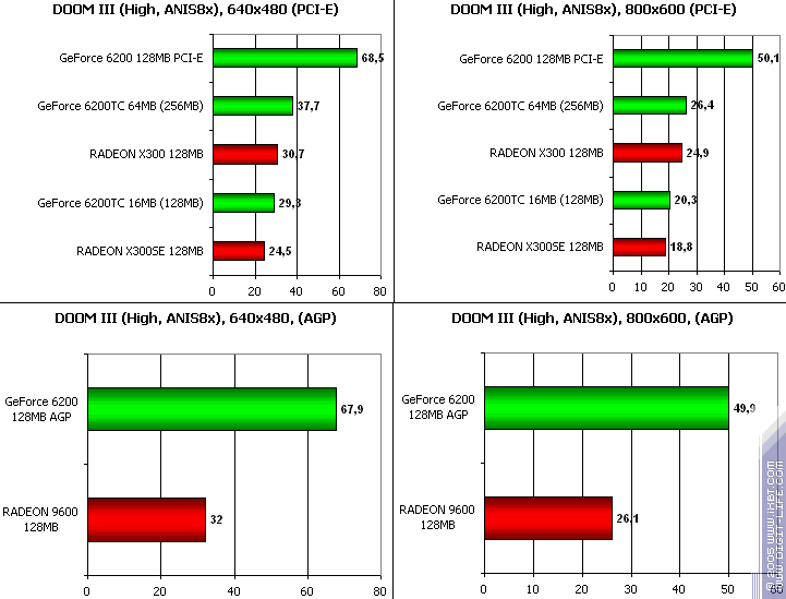
DOOM III

НАЗАД к ОСНОВНОЙ СТАТЬЕ
3DMark05: MARKS

НАЗАД к ОСНОВНОЙ СТАТЬЕ
Chronicles of Riddick, demo 44

НАЗАД к ОСНОВНОЙ СТАТЬЕ
Chronicles of Riddick, demo ducche

НАЗАД к ОСНОВНОЙ СТАТЬЕ
| Дополнительно |
|

