А. С. Пушкин, «Моцарт и Сальери»
Качество изображения любого компьютерного TV-тюнера определяется, как минимум, двумя параметрами — установленным аналогово-цифровым преобразователем и чувствительностью принимающего сигнал высокочастотного модуля. При этом АЦП в данном случае исполняет роль ведомого, например, устранить «шум» в сигнале, поступающем с приемника, ему не под силу. В какой-то мере ситуацию может спасти установка аппаратного компрессора MPEG-1/2 с возможностью шумоподавления, но этот подход имеет и обратную сторону в виде потерь при сжатии видеопотока.
Словом, необходимость в наглядных результатах назрела давно.
В соревновании участвуют следующие модели TV-тюнеров с интерфейсом PCI:
AVer TV Studio Model 305, селектор Philips FM1256/IH-3

GOTVIEW PCI 7134, селектор TCL2002MB-33F

Compro VideoMate Gold+ II, селектор LG TPI8PSB12D

Kworld Xpert TV-PVR 883, селектор TVision TNF-9831-R/DFF

RoverMedia TV Link Pro FM, селектор TCL2002MB-33F

Таким образом, мы можем оценить все наиболее часто встречающие на современных тюнерах приемники. Несмотря на идентичный с GOTVIEW PCI 7134 ВЧ-модуль, мы добавили тюнер от RoverMedia в силу широкой распространенности дизайна LR138 (напомним, что его точными аналогами являются, например, FlyTV Prime 34 FM и Eline Vision TV Master-3000-FM). К тому же, это дает возможность оценить влияние дизайна платы. В силу ограниченного присутствия на рынке, в тесте не участвовали платы с полупроводниковыми селекторами, т. н. Silicon Tuner. При первой же возможности мы постараемся восполнить этот пробел.
Программа Line_View
Для расчета отношения сигнал/шум (ОСШ, SNR) использовалась программа Line_View, разработанная Андреем Глазуновым и Дмитрием Лавреновым.
Алгоритм работы программы заключается в следующем.
Вычисление ОСШ происходит в несколько этапов:
- Этап 1: Вычисление среднего значения сигнала на периоде измерения ОСШ
- Этап 2: Вычисление действующего значения шума на периоде измерения ОСШ
- Этап 3: Определение ОСШ по формуле ОСШ = 20 × log (Aс / Uш)
- Этап 4: Пространственно-временная фильтрация ОСШ
Этап 1
При измерении ОСШ предполагается, что входной сигнал не изменяется, то есть, постоянен, на периоде измерения ОСШ. Это позволяет легко отделить полезный сигнал от шума. Для определения значения полезного сигнала используется тот факт, что математическое ожидание (среднее арифметическое значений выборок сигнала, в электронике математическое ожидание соответствует постоянной составляющей сигнала) шума равно 0. При этом, полученное среднее арифметическое суммы сигналов шума и полезного сигнала (т. е. того, что мы получаем с выхода видеодекодера) будет соответствовать значению исходного полезного сигнала, т. к. мы условились, что полезный сигнал - это постоянная составляющая. Необходимо отметить, что для того, чтобы вычисленное значение достаточно точно соответствовало исходному полезному сигналу необходимо большое число выборок — не менее нескольких десятков.
Этап 2
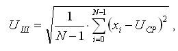
Как уже было сказано выше, математическое ожидание шума, а, значит, и его постоянная составляющая, равны нулю. Это позволяет рассчитать действующее значение шума как величину среднеквадратического отклонения. Другими словами, действующее значение сигнала шума равно:

где UШ — действующее значение шума, UСР — вычисленное в предыдущем этапе значение полезного сигнала, Xi — значение i-го отсчета оцифрованного сигнала на периоде измерения ОСШ, i от 0 до N-1.
Этап 3
Для определения ОСШ используется стандартная формула:

где AС — максимальная амплитуда сигнала, принята равной разности от 16 до 235 (к этому диапазону значений исходного сигнала приводились значения оцифрованного сигнала), т. е. 219, UШ — действующее значение шума, вычисленное в предыдущем этапе.
Этап 4
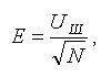
Можно увидеть, что все вычисления используют статистические свойства сигнала. Однако, как известно, данные способы дают определенную погрешность. То есть, снятое мгновенное значение ОСШ соответствует реальному значению ОСШ с какой-то погрешностью. Статистическая погрешность в нашем случае определяется по формуле:

где UШ — действующее значение шума, N — число выборок, E — статистическая погрешность.
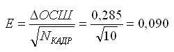
Например, при ОСШ = 20 дБ и 100 точках мгновенное значение ОСШ, показываемое программой, будет находиться в диапазоне от 19,2 дБ до 20,9 дБ. Таким образом, можно будет сказать, что ОСШ находится в диапазоне от 19 до 21 дБ, ни о какой точности до десятых долей дБ не может быть и речи. В то же время, если взять 10000 точек, то диапазон будет от 19,9 дБ до 20,1 дБ. При ОСШ = 40 дБ и 10000 точек диапазон составит от 39,9 до 40,1 дБ. Самая главная проблема заключается в том, чтобы получить эти самые 10000 точек. Получить их можно тремя способами:
1) увеличить период измерения ОСШ
2) брать отсчеты для вычисления ОСШ с нескольких соседних строк
3) брать отсчеты для вычисления ОСШ с нескольких последовательных кадров
Как правило, использование только одного из способов не позволяет добиться приемлемых результатов. Например, применение первого способа ограничивается длиной строки, то есть чуть более 700 точек. Более того, если АЧХ канала обладает завалом в области низких частот, то это приведет к тому, что уровень входного сигнала не будет постоянен, станет немного уменьшаться к концу периода измерения ОСШ, но это небольшое изменение даст большую сумму квадратов и будет посчитано как шум. Второй способ часто ограничен тем, что на испытательном сигнале может не быть достаточного количества одинаковых строк. Третий способ ограничивается временем, которое отводится на измерение. Однако одновременное применение всех трех способов способно решить проблему. Например, если взять период измерения ОСШ 100 точек, число соседних строк принять равным 10 и число соседних кадров равным 10, то мы получим нужные 10000 точек.
В программе реализован несколько иной вариант расчета ОСШ с использованием описанных способов. Сначала производится расчет ОСШ по одной строке, как было описано выше, это делается для выбранного числа строк в кадре. После чего берется среднее арифметическое полученных значений ОСШ. Ошибка в данном случае определяется по вышеуказанной формуле:

Далее это значение запоминается, производится расчет значения ОСШ следующего кадра и т. д. Зафиксированные значения ОСШ пропускаются через НЧ фильтр Moving Average. Берутся значения ОСШ за указанное число кадров, и рассчитывается их среднее арифметическое. Ошибка в данном случае равна:

Особенностью фильтра Moving Average является то, что он применяется к непрерывному сигналу, то есть, при обработке 11-го кадра будет выброшено значение ОСШ самого первого кадра и взято среднее арифметическое ОСШ последних 10 кадров. Применение этого фильтра позволяет при любом значении числа кадров выводить текущее значение ОСШ с постоянной частотой. Например, если фильтрация идет по 50 кадрам, то без данного фильтра значение ОСШ обновлялось бы раз в 2 секунды, а с фильтром это возможно и для каждого кадра.
Методика тестирования
В качестве источника сигнала использовался генератор испытательного сигнала «Муссон-007». Тестирование проводилось в стандарте PAL, чтобы исключить влияние АЦП при работе с SECAM.
На вход тюнера подавался тестовый сигнал «Вертикальные цветные полосы», при этом настройками яркости, контрастности и насыщенности в драйвере устанавливалось правильное матрицирование и вписывание результата матрицирования в принятый диапазон уровней сигналов основных цветов.

Затем цвет отключался.

Последующее измерение ОСШ проводилось при следующих настройках.
Моделировалась работа в двух режимах — при идеальном сигнале (73-75 дБ с генератора) и с ослаблением на 20 дБ, что примерно соответствует обычным условиям работы. Для ослабления использовался переходник-аттенюатор соответствующего номинала.
Тестирование проводилось в помещении с максимально неуверенным приемом местного телевизионного эфира, вплоть до отсутствия антенны. Тем не менее, приведем список каналов, теоретически способных влиять на результаты измерений.

Конфигурация тестового компьютера
- Процессор Athlon 2500XP (Barton)
- Материнская плата EPoX 8KRAI (KT600)
- Оперативная память 512 ГБ (2×256 МБ NCP)
- Видеокарта HIS RADEON 9500
- Жесткий диск Seagate ST380011A
- Операционная система Windows XP Professional (SP1) ENG
Результаты
В связи с тем, что используемый генератор выдает сигнал в спецдиапазонах метровых каналов 73-82 и S-01 — S-18 отдельно, эти диапазоны представлены отдельными графиками. Вследствие этого, результаты не являются полноценной амплитудно-частотной характеристикой. Впрочем, желающие могут построить ее сами на основании представленных ниже данных, целью этого материала построение АЧХ не являлось.
Для большей наглядности приведем несколько изображений с разными значениями ОСШ. Начнем с 35 дБ, как минимально допустимого для относительно комфортного просмотра.
SNR = 35
SNR = 32
SNR = 30
SNR = 20
SNR = 17
Приступаем к тестированию.
Неожиданно в лидеры выходит Rover TVLink Pro. За исключением непонятного провала на 45 канале (663,25 МГц). С другой стороны, там отметились и AVer TV Studio Model 305 с Compro VideoMate Gold+ II. Наметился и аутсайдер — Kworld Xpert TV-PVR 883. График не зря обрывается с 59 по 62 канал. Максимальное качество, которого удалось добиться, можно увидеть на скриншоте.
GOTVIEW PCI 7134 имеет, пожалуй, самый ровный график, однако по абсолютным значениям ОСШ держится ровным середнячком.
Если не считать проблем на 59-62 каналах у Kworld, за пределы условно-допустимого ОСШ в 33-35 дБ никто из конкурсантов не выбился. Однако не забываем, что такой уровень сигнала подавляющему большинству пользователей недоступен.
Интересна также схожесть работы селекторов LG TPI8PSB12D и Philips FM1256/IH-3.
Ослабляем сигнал.
Kworld уверенно подтверждает свое последнее место. Мало того, что из принимаемых каналов в дециметровом диапазоне исчезает еще один, картинка с 58 по 62 канал становится совершенно непристойной.
К тому же, на многих каналах метрового диапазона наблюдается вот такое блуждающее явление.
Незачет, одним словом.
В метровом диапазоне AVer TV Studio Model 305, Compro VideoMate Gold+ II и GOTVIEW PCI 7134 держатся примерно на равных. Непонятен завал LG TPI8PSB12D на каналах S-01 — S-11, что особенно странно, учитывая нормальную работу на пересекающихся с этим диапазоном 73-82 каналах. Да и AVer TV Studio Model 305 споткнулся на S-07 (159,25 МГц).
LG TPI8PSB12D и Philips FM1256/IH-3 смогли отыскать себе несколько ям и благополучно в них упали. К тому же, ослабление сигнала на последнем канале дециметрового диапазона селектору от LG тоже не понравилось. Сдал и в целом неплохо себя показавший Rover TVLink Pro, в особенности, это проявилось все на том же 45 канале. Зато поведение GOTVIEW PCI 7134 можно считать просто безупречным. Очень хорошо.
При этом ни один из тюнеров не избежал печально известных помех в виде вертикальных полос при ослабленном сигнале, как минимум, 2-3 таких канала обнаружились у каждого.
Выводы
Идеальной ситуацией было бы наличие нескольких тюнеров каждой модели, чтобы исключить возможное влияние каких-либо проблем с конкретным экземпляром. К сожалению, по вполне понятным причинам это практически нереально, так что будем делать выводы на основании имеющихся устройств по известному принципу «Лучше синица в руке».
Результаты измерений говорят сами за себя, лидеров и аутсайдеров мы уже отметили выше. Прокомментируем напоследок несколько моментов.
- Хорошие условия приема являются немаловажным условием при эксплуатации компьютерного TV-тюнера.
- Вероятность столкнуться со «слабым местом» того или иного тюнера невелика, учитывая достаточно слабую насыщенность нашего эфира, тем не менее, при покупке тюнера, лучше это учитывать.
- Референс-дизайн LR138 (как минимум, ревизии H) оказался на редкость удачным. По крайней мере, в том, что касается приема телевизионного сигнала.
- Дизайн и разводка платы могут достаточно сильно влиять на прием сигнала.
- Параметры селектора не ограничиваются ОСШ на каждом канале в зависимости от силы сигнала. О работе TCL2002MB-33F по сравнению с ВЧ-модулями от Philips и LG, например, в моих условиях можно прочитать в обзоре GOTVIEW PCI 7134.
- Чем выше ОСШ, тем лучше качество при кодировании в MPEG-1/2/4 и другие форматы, использующие сжатие с потерями.
Андрею Глазунову aka Drakon Rider и
Дмитрию Лавренову aka MIDIMaker,
без них этот материал бы не состоялся
Спасибо также
Александру Кудряшову и
Александру Колесову
за прояснение ситуации с генератором
испытательного сигнала










